draw bridge  
Science Home
  fan belt  
      

Home
Detailed Pages
▼▼▼  
 

Various Science  5

 
Relativity has no Relationship to Science.

It is Nothing but a Power Mongering Tool.

 

Lorentz

 

Relativity For Idiots ▼
 

Relativity says the velocity of light changes for every receiving point that has a different velocity. There cannot be more than one velocity for the same light waves.

The essence of relativity is to say, you can drive down a highway at 80 miles per hour and say you were going 60 miles per hour, because the reference frame was moving 20 miles per hour. In other words, fraud as the defining principle of physics.

Relativity is based on reference frames being variable for velocity in defining physics functions. It is not valid to use more than one reference frame for velocity for such basic purposes, because a universe is not a universe with more than one reference frame for velocity.

Yet relativity is imposed as the official foundation for physics; and no one in physics is allowed to oppose or significantly criticize relativity. When physicists retire and can criticize physics, they focus on relativity, because the contradictions are so obvious. The conflict is extreme, because it takes a lot of determination to oppose the laws of the universe as official physics.

 
The starting point of relativity is not valid. The starting point is that the velocity of light is supposedly determine by the receiving point. Effect can never precede cause.

This then shifts to the next invalid point—the use of multiple reference frames to account for the multiple velocities of the receiving points. There is no validity to multiple reference frames. The gimmick is no different than multiple velocities, which it attempts to remove as a problem. A universe cannot be a universe with more than one reference frame for the entire universe. When applying reference frames to light, the whole universe is affected.

A prior premise is the claim that light always has the same velocity as the receiving point. But receiving points have infinite velocities, while light can only have one velocity. Some fake rationalizing was needed to resolve that contradiction.

Light could not have the definable energy that it is supposed to have if it had more than one velocity. So the fix is to claim that the velocity is always the same, but the reference frame is infinitely variable. The receiving point is the reference frame.

Physicists claim that mathematics is not only evidence but proof. Supposedly, anything they can write a mathematical equation for is a law of the universe. I showed that claim to be wrong by mathematically proving that the definition of kinetic energy is in error. The equations balance with both the correct and erroneous definition of energy, but only the correct form of kinetic energy transforms consistently into other forms of energy. Therefore, balancing equations is not proof of correctness in physics.

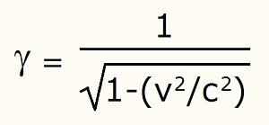
equationOne of the contrivances of relativity says nothing can travel faster than the speed of light. This claim too has no relationship to anything else in relativity or science. It's nothing but a mathematical game, where you put a negative number under a square root sign and say there is no such thing as the square root of a negative. The sort-of equation is the square root of one minus any velocity divided by the velocity of light (c). If any test velocity is greater than the velocity of light, a negative shows up under the square root, which is an impossibility. The equation is nothing but a contrivance.

equationA similar equation could be produced to show that no vehicle can travel faster than 50 miles per hour, such as this:

If v is any number greater than 50, the square root of a negative results, which is an impossibility. There is no more validity in the relativity equation than in the vehicle equation. Such equations are contrivances with no relationship to reality having the only purpose of showing an impossibility with meaningless mathematics. Jacking a rationalization into place only adds to the fraud, since there is no such thing as relativity.

In relativity, space-time replaces gravity. What does space-time have to do with infinite reference frames for the velocity of light? Absolutely nothing. What does it have to do with E=mc²? Absolutely nothing. What does it have to do with there being no square root of a negative? Absolutely nothing. All concepts of relativity are totally independent of each other.

Space-time is defined as the three dimensions of space put on a graph and a fourth dimension for time being added. A graph supposedly creates a relationship between space and time. But there is no way to get all four things onto a graph. If there is a second of time for one centimeter of length, how many seconds are there for one centimeter of width? It could be anything. So there are no relationships. If the time is the same for all spatial dimensions, then the graph is only two dimensional—so many seconds per meter.

Where did E=mc² come from? No place but Einstein's head. Einstein made a rough parallel to the kinetic energy equation, which says KE=½mv². I show simple and unquestionable mathematical proof that the kinetic energy equation is in error. It should be KE=mv. Velocity should not have been squared. It means Einstein paralleled a false equation. There is no science to paralleling a false equation.

There is no significant energy in hydrogen fusion. Einstein's equation, E=mc², is used to calculate immense energy, while the equation is in error. Einstein's paralleling of the error created a false expectation of energy from fusion.


 
Relativity For Idiots

Relativity was built upon the Michelson-Morley experiment (MME) of 1887, which was total fraud. The MME was an attempt to determine if there is an etheric medium in space for conducting electromagnetic waves. The procedure was to reflect light at right angles and recombine the waves to see if a delay occurred. The recombined waves were supposedly compared with "interferometry."

Interferometry doesn't exist; and everything about it is fraud. So of course, the MME got no result; and on that basis the conclusion was that there is no etheric medium in space.

Regardless of interferometry, not getting a result in science is not science. It's no different than throwing a rock in a pond and not getting a result. There has to be a positive result to compare to to show what the experimental design is worth and how it is quantitated. (Only nonscientists say quantify, though fakes in science like to pick up social gibberish and might be changing their vocabulary on that. I don't stay up to date on the trends of fakes in science [such as shifting the date of the dinosaur transition from 65 mya to 66 mya based on rounding error, which would require me to search through a lot of web pages.])

Frauds in physics built upon the MME fraud to create relativity. The question which supposedly needed to be answered was this: If the velocity of light is not determined by a medium in space, then what does create a fixed velocity for light. The conclusion was that the receiving point of light determines the velocity of light.

Isn't it obvious that the receiving point isn't going to determine what happens to light before it gets there? Isn't it obvious that effect is not going to precede cause? Isn't it obvious that an etheric medium needs to exist before a fixed velocity can exist for light? Making a mockery of all that logic is what the frauds decided to do.

Since receiving points have different velocities, how could light always have the same velocity when determined by receiving points which have different velocities? Obviously, no such thing can occur. So the contradiction created a perfect fraud—no possible logic for the fraud.

That contradiction created a need for a fraudulent explanation. The explanation is that the reference frame is different for each receiving point. Then the velocity is always the same while determined by masses that don't have the same velocities. The fix requires infinite reference frames for infinite velocities which are supposedly all the same velocity.

A universe is not a universe with more than one reference frame for all velocities. All interactions require the same reference frame, or no interactions occur.

Relativity is like someone driving down a highway at 80 miles per hour; and a patrolman says he was speeding, because the speed limit is 60 miles per hours. So the diver says he was driving 60 miles per hour; and the reference frame was moving at 20 miles per hour.

Relativity is the same as saying everyone drives at 60 miles per hour and the only differences are shifts in the reference frame.

There is no such thing as photons.
There is no such thing as quantum mechanics.
There is no such thing as relativity.
Belief in those things is religion, not science.

 
Interferometry Fraud

What Corruption Is      TOP     

     top       

 

Radiative Transfer Equations
 
Invalid Measurements
 
Absorption Without Emission
 
Greenhouse Gas Fraud
 
Quotes On Greenhouse Fraud
 
Other Factors Heat The Planet
 
Stefan-Boltzmann Constant
 
Joule's Constant
 
Relativity Fraud
 
Nuclear Fusion
 
ATP Theory
 
Electricity Problem
 
Renewable Energy
 
Electric Vehicles
 
Gravity Waves
 
Firing Scientists
 
Peer Review Fraud
 
IPCC
 
Evolution Biology
 

     

 

 
 
 Home Page 
 
 Moral Philosophy 
 
 Political Philosophy 

 
 
 Sociology   
 
   News Pages   
 
   Detailed Pages