temperature   global Warming      
 Equilibrium is the Reality 
 
 Saturation is the Proof 
 
 
 The Fakery of Modern Global Warming Science 
     

Gary Novak

Global Warming Home

About

Introduction

What, How and Why

List of Points

A Sociology Problem

Key Summaries:
How Modern Global Warming Science Took Form

Why Global Warming Science is Nothing but Fraud

Saturation, Proof of Climate Science Fraud

Fudge Factor for Settled Science

Fakery of the Primary CO2 Effect

Criminal Standards of Science

Background Principles:
Errors in Claims
Crunching the Numbers
Absorption Spectra
Explanations
Simple Words
Contrivance
Communication Corruption

Alphabetical Page List
And Summaries
Detailed Specifics:
Stefan-Boltzmann

Firing Scientists

Thermometer Fraud

Fake Ice Core Data

Equilibrium in Atmosphere

Acid in the Oceans

Oceans not Rising

Future Ice Age

"Delicate Balance" Fraud

Heat-Trapping Gases

The Cause of Ice Ages and Present Climate

Climategate

Second Climategate

The Disputed Area

IPCC Propaganda

The Water Vapor Fraud

Back Radiation is Absurd

The 41% Fraud

The 30% Fraud

A Fake Mechanism

Global Dynamic

River, not Window

What about Argo

Heinz Hug Measurement

Hockey Stick Graph

Ice Melt


                

What Science is
 

The purpose of science is to increase basic knowledge and assure its reliability.

The method is measurement. No measurement; no science. Yet most physics is mathematics without a measurement.

Promoters of global warming can never get beyond subjective claims, because climatology is too complex for real science. Modeling is totally subjective, as there are no measurements. Garbage in; garbage out.

 

First, there is the seven-year-old concept that science is anything more complex than use of a fork and spoon. Then there is the more important concept that someone needs to establish the difference between erroneous belief and reliable fact. Modeling doesn't do that. It's nothing but a tool for charlatans.


What science should be is not determined by some professor writing a definition in a dictionary; it is determined by the result and expectations. People expect science to replace ignorance and falsehood with fact. Only certain procedures produce the expected result.

Reliability, verifiability and related accountability are essential not only to keep science on track but to make it useable. Instead, science is drifting into a "trust us" mode which guarantees corruption. A lid is being sealed over a dark pit which science supposedly comes out of, where nothing but fraud can result.

The importance of standards in science is shown with global warming. Basic publications show no methodology or measurements, just made up blather on atmospheric effects. No mechanism has been described for carbon dioxide creating global warming. These omissions are not academic. Expecting frauds to have some secret knowledge which is not available for criticism is a guaranty of corruption.

Presentation of new studies must include enough methodology to understand, criticize and verify the claims. There is no secret knowledge to science. Yet global warming claims are buried in secret knowledge which can not be located or extracted. In fact, science publications are no longer available to the public, as digital science is now kept behind barriers with limited access. Only fraud is concealed in such a manner.

Science consists of two parts: The acquisition of evidence, and the judgment and evaluation which produce knowledge. Frauds in science skip over the evidence, as charlatans have been doing for centuries.

About 90% of science is applying accumulated knowledge to a subject. Knowledge, including established principles, is the most important evidence.

Recent science is becoming gimmick oriented, as large amounts of surrounding knowledge is ignored and a single point is weighed as everything.

The primary gimmick is fake math, which supposedly cannot be wrong but always is because of the complexities of nature which cannot be reduced to human mathematics.

A critical element of science is to verify. Fake measurements are promoted by preventing verification. To be science, a measurement must add something that critics can see and accept as increased knowledge.

When nonscientists tell us what unquestionable science is, they assume they can slide over the surface of the subject and generalize. Science does not exist as generalizations without specifics.

Science is probing the unknown in basic areas, like laws. Engineering deals with nonbasic realities, like technology. Science is basic; engineering is nonbasic. Knowledge requires that the basics be correct.

The modern world does not have the slightest idea of what science is supposed to be. One of the consequences is the insanity of trying to remove carbon dioxide from the air, while all real science shows that there needs to be more CO2, not less.

People learn to associate science with technology and nature with no concept of what bad science might be. Even within science, the usual claim is that science is forming a hypothesis and testing the hypothesis. Nothing resembling it has existed in science in at least a century. Modern science is too complex for such boy scout hobby craft. There are no instruments or procedures for answering the questions of modern science.

But Stanley Prusiner and his followers didn't know it. He supposedly pulled a dozen procedures off the shelf for answering the question of whether Scrapies-like diseases are caused by proteins call prions. Afterwards, no one could reproduce his results; but by then he had a Nobel prize, and you can guess who was supposedly right.

Real science has a purpose. It's supposed to establish what objective reality is. Careful standards are required. In fact, the standards are the most demanding part of science and the limiting factor to reliability of the results.

For this reason, real scientists look closely at the standards of the results to evaluate their worth. Each study has a different degree of informativeness and reliability. And then propagandists replace reliable science with fakery, and the public accepts the fakery, because it is designed to sell.

The purpose of science is to both probe the unknown and separate objective reality from falsehoods. The unknown is a mass of realities, sort of like life on a different planet. Probing the unknown is moving realities from the different planet onto the planet of knowns. Moving the realities is like mining coal (or gold, etc). You move so much from one point to another every day, every year.

Realities are moved from the unknown to the known as small pieces of evidence. The evidence accumulates over time to increase knowledge.

The result of science is in the form of many pieces of evidence which must be evaluated in terms of all the rest of science. There is no push-button product which answers yes or no questions for uninformed persons. A computer model is not evidence. Computers, math and graphs can be used to tabulate evidence. A model is a synthesis, not a measurement.

There is very little science in modern physics, as demonstrated by relativity and the big bang theory, which conflict with the rest of science so totally that they are nothing but blatant frauds.

A large part of the reason is because physicists apply math to the development of technology, which is nothing resembling science but is so useful that it causes physicists to assume it is science. None of their math can properly represent the complexities of nature, but they use it anyway, which gives them a false concept of nature and what science should be.

It's an understatement to say physicists assume a balanced equation is a law of nature. Writing equations which look balanced and useful is nothing resembling the acquisition of evidence.

The corruptness of the process and standard is demonstrated by the attempt to use math in computer models to predict climate, while scientists don't have the slightest ability to understand or predict climate; and they forgot to include the effects of oceans, which control about 98% of the climate. The effects of oceans cannot be modeled, because they are way too complex, mysterious, erratic and unpredictable.

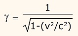
Do you think relativity says no object can move faster than the speed of light? The Lorentz equation says nothing can move faster than the speed of light. There is not a rhyme or reason for the Lorentz equation to exist—no evidence, no measurement, no experiment.

Here's the Lorentz equation. What does it have to do with relativity?

     γ  =    1                
1-(v²/c²)

This equation never allows any velocity (v) to get larger than the velocity of light (c), because there is no such thing as the square root of a negative. It would be just as scientific to use the Lorentz equation to show that no automobile can go faster than 55 mph. Just plug in 55 for C, and V (velocity of the vehicle) can never exceed 55.

The Verification Process

To get things right, the most critical and difficult part of science is a process of verifying. The verifying process has disappeared from science. It disappeared from physics about 150 years ago, when James Joule did a sham experiment measuring the amount of heat produced in stirring water in a wooden bucket. The verifying process disappeared from the biological sciences over recent decades, as demonstrated by the claim that a protein called a prion does the same thing as a disease organism.

Without a verification process in science, scientists and society are supposed to takes someone's word without question. Doing so is a guaranty that charlatanism replaces real science.

So it's important to know what the verification process is supposed to be in science. One element of verification is reproducibility. Only after Stanley Prusiner did about a dozen experiments to show that prions cause a disease were other scientists allowed to study the subject. They could not reproduce his work, but since Prusiner had a Nobel prize by then, his results were assumed to be the correct ones.

Another major element of verification in science is alignment upon developed knowledge. There must be a consistent logic to science. Otherwise, why bother. A consistent logic is the only product of science. It creates the predictability and usability of science. And it is a major test of rightness in science.

Verification occurs when a subject can be studied in a variety of ways and still show the same result. The problem in physics is that there is often no more than one method of testing something. If it has flaws, a misleading result occurs which does not get corrected.

Another problem in physics is that many of the basic laws are not studied. What is a force, what is a volt, what is inertia, what is force amplification. Physicists don't have a clue, and they have no concept of how to study those questions. So their basic knowledge has large gaps in it, and verification becomes difficult.

Also critical to verification, like elsewhere, is accountability. If scientists cannot explain their knowledge to critics, it doesn't exist. The whole purpose of science is to make the result available to society. Yet charlatans pretend that they have a knowledge which is so esoteric that no one else can understand it, and we just have to take their word for it. Taking their word for it is charlatanism, not science.

Know-nothing fakes claim that science is testing a hypothesis through an "empirical" measurement. So light bending around the sun, or variations in the motion of Mercury, supposedly prove relativity correct. The claimed variations in the motion of Mercury were parts per billion—indistinguishable from measurement error. Light bends whenever it contacts matter. Notice the contempt for verifiability through basic knowledge and standards. Nothing locks in fraud more absolutely than a fake measurement. The charlatans of the thirteenth century never had it so good.

Measurements need a lot with them before they qualify as real science. They need to be consistent with the logic of basic knowledge; and standards of quality, reproducibility and accountability need to be included.

The entire essence of the carbon dioxide fraud is based on a claimed 0.6°C temperature increase since the "industrial revolution" of 150 years ago. The number was derived in the dark by manipulating "proprietary" thermometer measurements (which need to be manipulated, because they are nothing but trash measurements) from around the world which other scientists are not allowed to verify. Satellite measurements show very little increase in recent times, but they are manipulated to conform with the supposed thermometer measurements. There is nothing resembling valid science to anything about "climate change" alarmism.

 

           
 
gbwm